Vad betyder ADR och farligt gods?
ADR är den europeiska överenskommelsen för farligt gods på väg (Accord européen relatif au transport international des marchandises dangereuses par route). De svenska bestämmelserna finns i ADR-S, som ges ut av Myndigheten för civilt försvar (MCF, tidigare MSB).
Med farligt gods menas ämnen och produkter som kan skada människor, miljö eller egendom. Det omfattar bland annat drivmedel, brandfarliga vätskor, gaser, frätande kemikalier, hälsovådliga ämnen (såsom asbest), explosiva ämnen (såsom fyrverkerier) och vissa typer av batterier.
Så fungerar värdeberäknad mängd och 1000-poängsregeln
Regelverket för farligt gods är uppbyggt för att anpassa kraven efter hur stor risken faktiskt är. Alla transporter behöver därför inte uppfylla samtliga ADR-krav. Vid mindre mängder farligt gods finns så kallade lättnader, som innebär att vissa regler förenklas eller helt faller bort.
En av de vanligaste lättnaderna kallas “värdeberäknad mängd” och gäller transporter där den sammanlagda risken bedöms som låg enligt ett poängsystem. Då kan transporten genomföras utan krav på till exempel orange skyltar, ADR-intyg för föraren eller särskild fordonsutrustning. För att avgöra om en transport omfattas av dessa lättnader används ett särskilt poängsystem som baserar sig på transportkategori och volym.
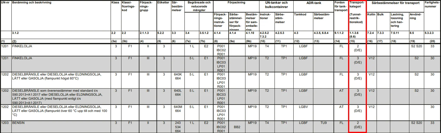
I utdraget från tabell A i ADR-S kan vi utläsa i kolumn 15 att bensin tillhör transportkategori 2 och diesel tillhör transportkategori 3.

Uträkning av poäng
Nu ska vi titta närmare hur uträkningen av poängen sker.
Transportkategori
Efter avläsning i kolumn 15 i tabell A får vi en transportkategori per ämne. Betydelsen av dessa transportkategorier i samband med värdeberäknad är dessa faktorer som senare ska multipliceras med mängden av aktuellt ämne.
Tolkning av poängen
Efter att ha multiplicerat transportkategorins faktor med volymen (och summerat ihop alla belopp om det är olika ämnen) erhålls en “poäng”. Betydelsen av den poängen är detta.
Under gränsen (mindre än 1000 poäng)
- Kräver ADR 1.3-utbildning för föraren och alla andra involverade i transporten
- Inga orange skyltar
- Förenklade regler för märkning och dokumentation
Över gränsen (mer än 1000 poäng)
- Kräver minst utbildningen “ADR Grund” för föraren och ADR 1.3 för övriga involverade i transporten
- Orange skyltar, särskild utrustning och dokumentation
- Striktare krav på förpackningar och märkning
Exempel: Transport av 300 liter bensin (UN 1203, transportkategori 2 = faktor 3)
300 liter × 3 = 900 poäng → Under gränsen (ADR 1.3 räcker)
Exempel: Transport av 300 liter diesel (UN 1203, transportkategori 3 = faktor 1)
300 liter × 1 = 300 poäng → Under gränsen (ADR 1.3 räcker)
Exempel: Transport av 300 liter bensin och 300 liter diesel
900 poäng (bensin) + 300 poäng (diesel) = 1200 poäng (över gränsen på 1 000 poäng). Det innebär att denna transport kräver full ADR (eller två transporter i skilda bilar).
Vanliga ämnen och mängder innan 1000 poäng uppnås
Vi får en del frågor kopplat till vad som gäller för olika typer av ämnen och volymer. Tabellen nedan är en förenklad översikt baserad på vanliga frågor och typiska exempel. Exakta gränser beror alltid på ämnets klassificering enligt ADR-S och aktuell version av regelverket. Vid osäkerhet ska alltid ADR-S tabell A användas.
Den tredje kolumnen (FPG) motsvarar förpackningsgrupp.
Vilka handlingar behöver du ha med dig vid värdeberäknad mängd?
När man transporterar farligt gods som värdeberäknad mängd enligt ADR gäller lättnader jämfört med full ADR, men transporten är fortfarande en ADR-transport. Det viktigaste dokumentet du måste ha med dig är en korrekt transporthandling. Den ska innehålla UN-nummer, officiell transportbenämning, klass, eventuell förpackningsgrupp, mängd samt avsändare och mottagare. Dessutom ska det framgå att transporten sker enligt lättnaden värdeberäknad mängd.
Föraren behöver inte ha ADR-förarintyg vid värdeberäknad mängd, men ska ha genomgått utbildning enligt ADR 1.3. Sammanfattningsvis är kraven förenklade, men inte borttagna.
När gäller ADR 1.3 och vem behöver den?
Utbildning enligt ADR 1.3 krävs för personer som deltar i transport av farligt gods. Utbildningen krävs inte bara för förare, utan även för de som förpackar, lastar, lossar, planerar eller beställer transporter med farligt gods. När full ADR-utbildning inte krävs för transporten, till exempel vid värdeberäknad mängd under 1000 poäng samt vid begränsad och reducerad mängd, räcker ADR 1.3 som utbildning även för föraren.
Exempel på situationer där ADR 1.3 krävs:
- En byggfirma som kör ut två PK10-gasolflaskor samt färgburkar till en arbetsplats.
- En maskinuthyrare som transporterar dieseldrivna maskiner på flak (utan att först ha tömt maskinerna på motorolja och diesel).
- En elektriker som har med sig 10 kWh-litiumbatterier i bilen som ska eftermonteras på en solcellsanläggning.
- En kommunal VA-bil som innehåller en dunk med 4-liter desinfektionsmedel.
- Ett lantbruk som kör en farmartank fylld med 450 liter diesel mellan två gårdar.
Vanliga missförstånd
Utifrån de samtal vi får är det ett antal frågor som är vanligare. Nedan är de vanligaste missförstånd som vi får frågor om.
“Vi kör bara lite grann, då gäller inte reglerna.”
Jo, även små mängder kan kräva ADR 1.3.
“Det är ju bara rengöringsmedel.”
Om det är brandfarligt eller frätande omfattas det troligen av ADR.
“Vi transporterar i egna fordon, det räknas inte.”
Egen transport påverkar inte kravet på utbildning.
“Batterier är väl ofarliga?”
Litiumbatterier är i grunden klassade som farligt gods och omfattas i de flesta yrkesmässiga sammanhang av ADR-regelverket, även i relativt små mängder, men det varierar mycket beroende på storlek på batterierna.
Så vad menas med värdeberäknad mängd?
Värdeberäknad mängd, även kallad 1000-poängsregeln, är en lättnad i ADR som gäller när den sammanlagda risken vid transport av farligt gods bedöms som låg. Genom att räkna ihop mängden av varje ämne och multiplicera med dess riskfaktor, avgör man om transporten hamnar under eller över 1000 poäng. Ligger transporten under gränsen räcker ADR 1.3-utbildning och flera av kraven vid full ADR-transport gäller inte och behöver inte följas.
Behöver du ADR 1.3-utbildning?
Om du efter att ha läst detta inser att du hanterar farligt gods (eller om du är osäker) rekommenderar vi att du genomför ADR 1.3-utbildningen online.

